All Past Meetings
View Forthcoming Meetings18 items
-
-
Agenda
(35KB, DOCX)
-
Meeting held on 10 March 2026 - draftv3
(29KB, DOCX)
-
-
-
Agenda
(29KB, DOCX)
-
Meeting held 13 February 2026
(332KB, JPG)
-
-
-
Agenda
(35KB, DOCX)
-
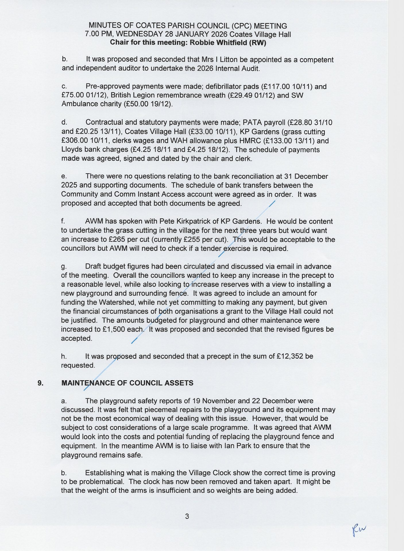
Meeting held 28 January 2026
(368KB, JPG)
-
Meeting held 28 January 2026(2)
(413KB, JPG)
-
Meeting held 28 January 2026(3)
(438KB, JPG)
-
Meeting held 28 January 2026(4)
(347KB, JPG)
-
-
-
Agenda
(30KB, DOCX)
-
Meeting held 17 December 2025
(433KB, JPG)
-
Meeting held 17 December 2025(2)
(343KB, JPG)
-